江苏省政府领导有调整
据江苏人大发布消息,11月27日,江苏省第十四届人民代表大会常务委员会第十九次会议通过: 任命沈剑荣为省人民政府副省长;接受李忠军辞去省人民政府副省长职务的请求...
据江苏人大发布消息,11月27日,江苏省第十四届人民代表大会常务委员会第十九次会议通过: 任命沈剑荣为省人民政府副省长;接受李忠军辞去省人民政府副省长职务的请求...
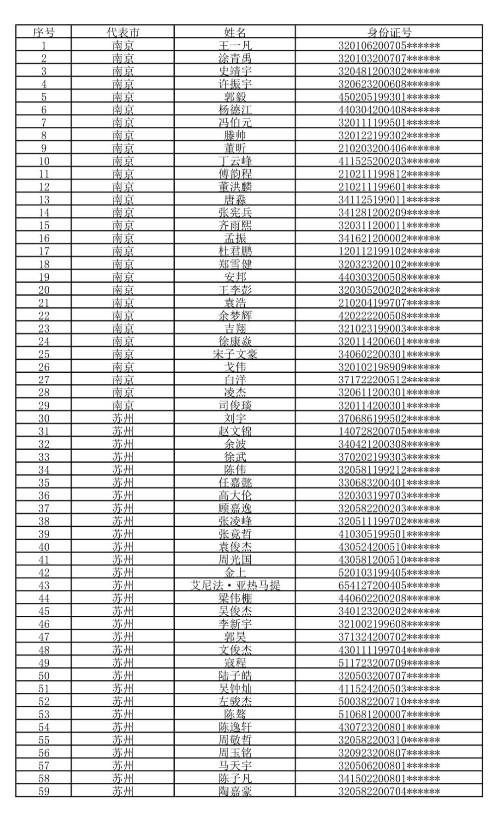
公示 按照《第二届江苏省足球发展重点城市对抗赛竞赛规程》对球员参赛资格审查的相关要求,现将球员报名名单进行公示。 一、公示时间为2025年11月7日至13日。...
7月18日,江苏省人民政府发布最新人事任免通知,任命朱华为江苏省人力资源和社会保障厅副厅长,试用期一年。 朱华(资料图) 朱华,男,汉族,1971年5月出生,...
直播吧6月3日讯 在接受《时代周报》采访时,江苏省足球运动协会副主席王小湾介绍了苏超联赛创办的原因以及组织结构情况。 时代周报:大家说的“苏超”具体是一个怎么...
央广网扬州9月13日消息(见习记者顾炀威)9月12日,工商银行江苏省分行成功举办“大美江苏·大运亨通”贵金属产品发布会,工商银行江苏省分行党委书记、行长张慎,扬...